7104: 2014-Freshman-04-Formula

内存限制:128 MB 时间限制:1.000 S
评测方式:文本比较 命题人:
提交:2 解决:2

题目描述

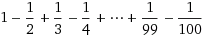
计算

输入

输出

输出题目描述中表达式的值,使用C语言默认舍入方式保留8位小数。请注意行尾输出换行。

样例输入 复制

样例输出 复制

0.68817218

来源/分类