8523: 公交路线
          内存限制:128 MB
          时间限制:1.000 S
         
      
      
        
          评测方式:文本比较
          命题人:
      
      
          提交:2
          解决:2
      
题目描述
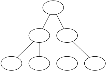
喵星人的世界是我们这些低智商生物无法理解的,比如他们的公交车站点连接起来刚好构成一棵完全二叉树(如图,它的高度h为2,它的第i层有2^i个节点),我们知道,公交路线是不走回头路的,也就是说不会经过同一个站点两次,(起点和终点在同一地点也算一条路线),现在,他们想让每个站点都有公交车经过,问最少需要安排多少辆公交车?
	     
 
h=2
输入
输入一个T,表示测试样例数
对于每组测试数据,输入一个h,表示树的高度(0=<h<=60)
输出
对于每组测试数据输出一行,需要多少辆车?
样例输入 复制
5
0
1
2
3
4
          样例输出 复制
1
1
3
5
11
            
          提示
由于输出数据可能很大,要用long long 输出
请不要用__int64